Zum Hauptinhalt springen Zur Suche springen Zur Hauptnavigation springen

Suche

Produktinfos

Produkt Highlights

Hohe Lichtstärke von f/2,8
150mm Brennweite
11 abgerundeten Blendlamellen
Innenfokussierung
Breiter Fokusring mit 270° Drehwinkel

Irix Lens 150mm f/2.8 Dragonfly für Canon EF

Die Brennweite von 150 mm und 1:1 Abbildungsmaßstab sind die Hauptmerkmale des neuen Objektives, die das Fotografieren von Kleinobjekten erleichtern. Der größere Objektabstand macht die Arbeit viel leichter als mit anderen Makro-Objektiven mit kürzeren Brennweiten. Damit wird es keine Probleme mit Objektivschatten geben und der Einsatz von speziellen Lampen wird durchaus möglich. Hohe Lichtstärke von f/2,8 ermöglicht kürzere Verschlusszeiten zu nutzen und die Brennweite 150 mm bietet den besten Kompromiss zwischen einem engen Bildwinkel, der bei Makro-, Werbe- und Porträtaufnahmen so gefragt ist. Deswegen hat der Benutzer eine Möglichkeit ohne Stativ zu fotografieren.

Aufbau

Die Blende besteht aus 11 Blendenlamellen, die bei allen Einstellungen für eine runde Blendenöffnung sorgen. Damit werden die Lichtquellen im Unschärfebereich natürlich wiedergegeben und die Bildschärfe bleibt hoch auch nach starkem abblenden. Der Fokusring wurde mit einem Gummigriff und einer Kerbe ausgestattet – damit wird die Fokussierung über den gesamten Bereich von 270° sehr präzise. Ein zusätzlicher Ring (Focus Lock) ermöglicht den Fokusring in beliebiger Lage zu sperren.
Die Konstruktion wurde an den wichtigsten Stellen abgedichtet (Frontlinse, Fokussperrring, Fokusring, Anschluss), damit das Objektiv auch unter schwierigsten Bedingungen eingesetzt werden kann.

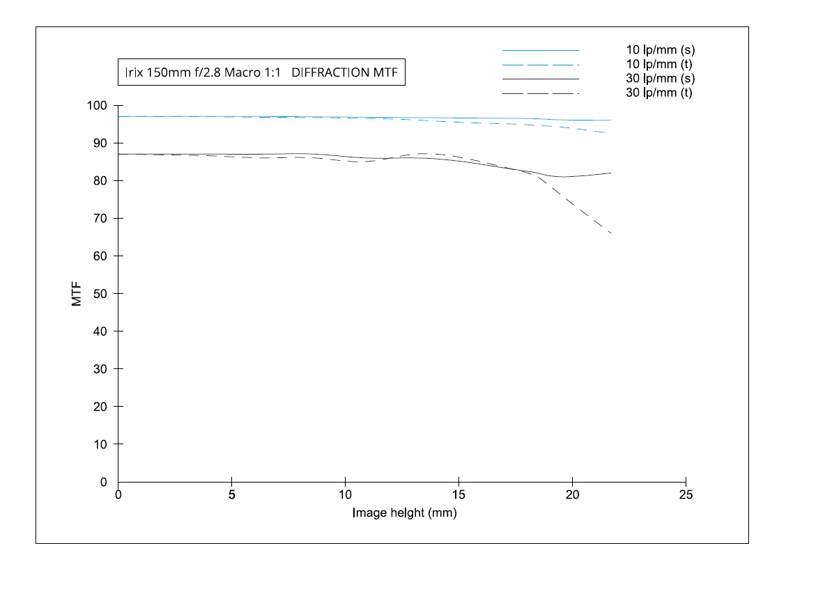
MTF

Verzeichnung

Der optische Aufbau besteht aus zwölf Linsen in neun Gruppen, drei von den Linsen wurden aus Extra-Low Dispersion (ED) Glas gefertigt, weitere vier aus hochbrechendem Glas (HRI). Damit lässt sich eine fast perfekte Verzeichnungskorrektur erreichen (weniger als 0,1%).

FOV

Das Irix 150mm f/2,8 ist der erste Vertreter in der Dragonfly Baureihe. Hier handelt sich um eine aus Aluminium gefertigte Struktur, die durch ein Aluminium-Magnesium Gehäuse ummantelt ist. Eine Mischung aus Firefly und Blackstone Merkmalen gewährleistet einen Leichtbau und solide Konstruktion ohne Verzicht auf hervorragende Wetterfestigkeit.

Das Objektiv besitzt CPU-Kontakte, die die Verbindung zwischen Objektiv und Kameragehäuse möglich tun. Somit kann die Blende in der Kamera eingestellt werden und alle Belichtungsmodi (PSAM) bleiben nutzbar. Die Schärfebestätigung im Sucher funktioniert auch einwandfrei. Alle Belichtungsdaten werden in der EXIF-Datei gespeichert.

Lieferumfang

  • 150mm Dragonfly für Canon
  • Stativfuß
  • Objektivdeckel hinten
  • Gegenlichtblende
  • Objektivdeckel vorne
  • Hartes Etui

EAN/GTIN: 7640172191163
Herstellernummer (MPN): IL-150DF-EF

Alle technischen Details zum Produkt

Technische Daten

Serie: Dragonfly
Mount: Canon EF
Brennweite: 150mm
Sensor Größe: Vollformat
Maximale Blendenöffnung: f/2.8
Minimale Blendenöffnung: 32
Filtergröße: 77mm
Objektiv Typ: Makro
Anzahl der Blendenlamellen: 11
Optischer Aufbau: 12 Linsen in 9 Gruppen
Minimaler Fokusabstand: 0.345m
Brennweitenart: Festbrennweite
Stabilisierung: Nein
Schärfeinstellung: Manuell

0 von 0 Bewertungen

Durchschnittliche Bewertung von 0 von 5 Sternen

Gib eine Bewertung ab!

Teile deine Erfahrungen mit dem Produkt mit anderen Kundinnen und Kunden.

446,64 € inkl. MwSt.